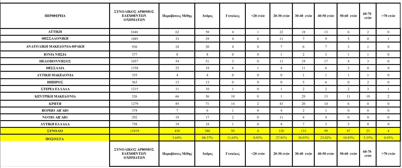
Οι
έλεγχοι για την αντιμετώπιση της οδήγησης υπό την επήρεια αλκοόλ συνεχίζονται
με αμείωτους ρυθμούς, καθώς το αλκοόλ αποτελεί μια από τις κυριότερες αιτίες
πρόκλησης τροχαίων ατυχημάτων και μάλιστα των θανατηφόρων.
Το
τριήμερο από Παρασκευή 24 Ιουλίου έως την Κυριακή 26 Ιουλίου, πραγματοποιήθηκαν
σε όλη τη χώρα (11.819) έλεγχοι
(αλκοτέστ) και βεβαιώθηκαν (430)
παραβάσεις, ως ακολούθως:
·
85 στην Κρήτη,
·
66 στην Κεντρική Μακεδονία,
·
62 στην Αττική,
·
54 στην Πελοπόννησο,
·
33 στη Θεσσαλονίκη,
·
25 στη Θεσσαλία,
·
24 στην Ανατολική Μακεδονία και Θράκη,
·
19 στο Νότιο Αιγαίο,
·
19 στη Δυτική Ελλάδα,
·
13 στην Ήπειρο,
·
11 στη Στερεά Ελλάδα,
·
8 στα Ιόνια Νησιά,
·
7 στο Βόρειο Αιγαίο και
·
4 στη Δυτική Μακεδονία
Από
την ανάλυση των παραπάνω στοιχείων προκύπτει ότι το (3,64%) των οδηγών που
ελέγχθηκαν βρέθηκαν να οδηγούν υπό την επήρεια οινοπνεύματος.

Επιπλέον,
από τους (430) συνολικά παραβάτες, με ποσοστό μέθης άνω των 0,60 mgr/lt
(πλημμεληματική παράβαση) οδηγούσαν (47) άτομα.
Περισσότερα
στοιχεία σχετικά με την κατανομή των παραβατών ανά φύλο και ηλικία, υπάρχουν
στον συνημμένο πίνακα.
Οι
έλεγχοι για την αντιμετώπιση της οδήγησης υπό την επήρεια οινοπνεύματος θα
συνεχιστούν με αμείωτους ρυθμούς, με στόχο την αναβάθμιση της οδικής ασφάλειας
στη χώρα.








