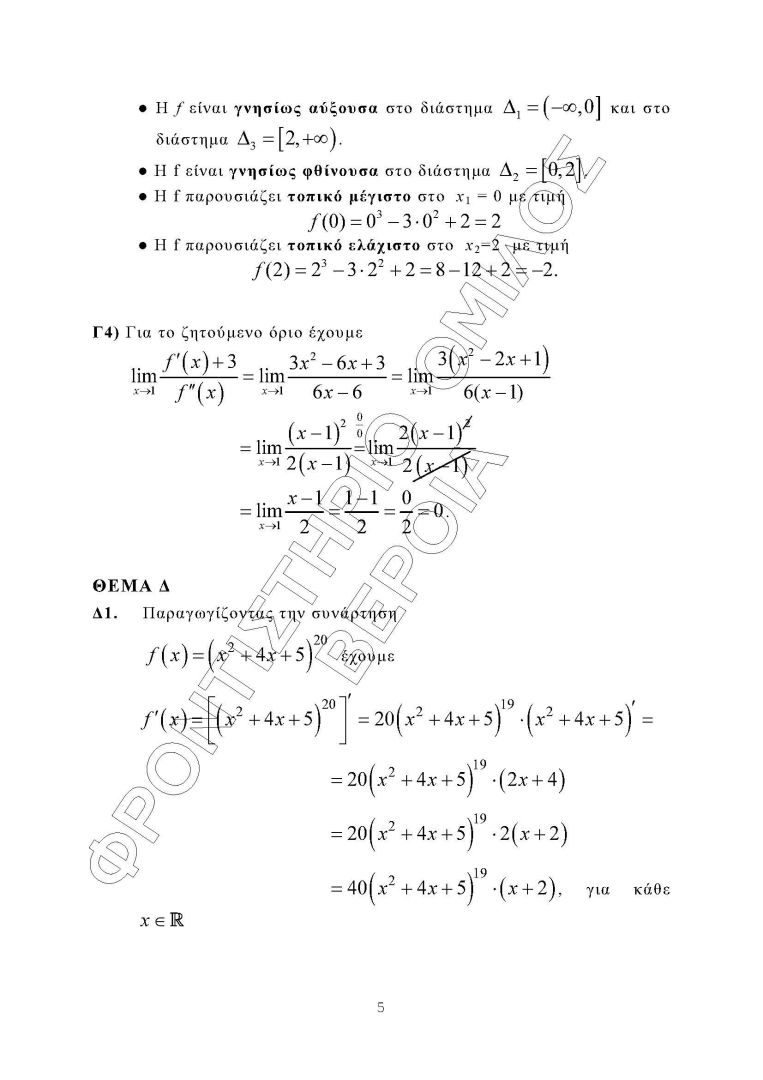
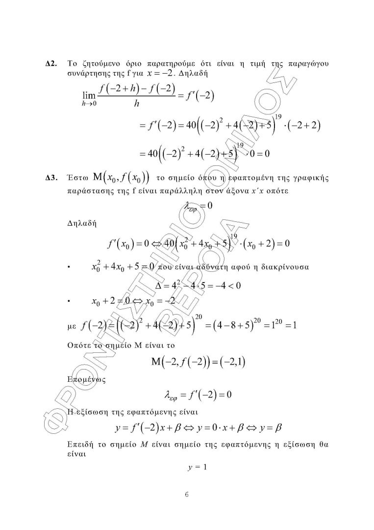
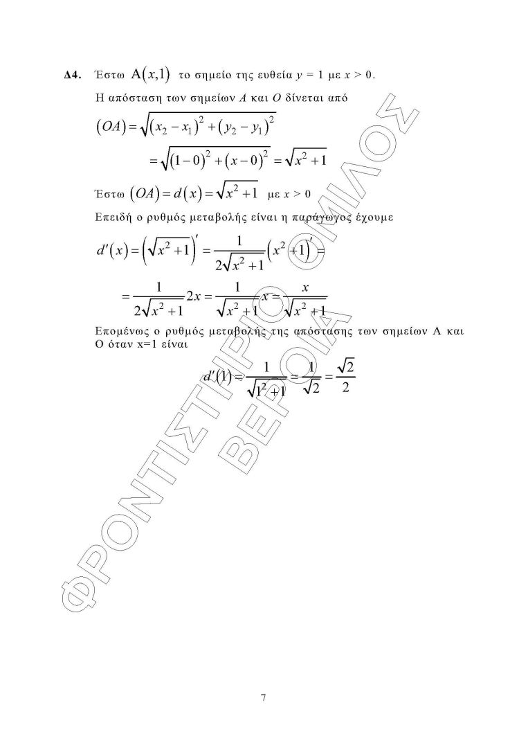
ΠΑΝΕΛΛΑΔΙΚΕΣ ΕΞΕΤΑΣΕΙΣ ΕΠΑΓΓΕΛΜΑΤΙΚΩΝ ΛΥΚΕΙΩΝ ΜΑΘΗΜΑΤΙΚΑ (ΑΛΓΕΒΡΑ) 18 ΙΟΥΝΙΟΥ 2020
ΑΠΑΝΤΗΣΕΙΣ

@@ads-307@@


@@ads-307@@




ΠΑΝΕΛΛΑΔΙΚΕΣ ΕΞΕΤΑΣΕΙΣ ΕΠΑΓΓΕΛΜΑΤΙΚΩΝ ΛΥΚΕΙΩΝ ΜΑΘΗΜΑΤΙΚΑ (ΑΛΓΕΒΡΑ) 18 ΙΟΥΝΙΟΥ 2020

@@ads-307@@


@@ads-307@@





Γράφει ο Γιάννης Γεωργουδάκης, Εκπαιδευτικός Η ιστορία διδάσκει, πως δε χρειάζεται ιδιαίτερο ταλέντο για να αναδειχθεί κάποιος αριβίστας ή έστω

Από το Πολιτικό Γραφείο του Τάσου Μπαρτζώκα, γνωστοποιούνται τα εξής: «Με έκτακτη τροπολογία που κατατέθηκε και ψηφίζεται σήμερα στη Βουλή