«Πάνω από 2,5 εκατ. ευρώ θα λάβουν οι αγρότες της Ημαθίας από τον ΕΛΓΑ από 1η Απριλίου, ως αποζημίωση για τις ζημιές που υπέστησαν οι καλλιέργειές τους το προηγούμενο έτος από τα δυσμενή καιρικά φαινόμενα.
Αποζημιώσεις – βαθιά ανάσα στην αγροτική οικονομία του Νομού μας, που καταδεικνύουν ότι η Κυβέρνηση της ΝΔ ακόμη και εν μέσω των τεράστιων επιπτώσεων στην οικονομία λόγω της κρίσης του κορονοϊού, συνεχίζει να θέτει σε πρώτη προτεραιότητα τον κόσμο της πρωτογενούς παραγωγής.
Αγροτικός κόσμος ο οποίος περίμενε τα χρήματα αυτά ως «μάννα εξ ουρανού» προκειμένου να σταθεί όρθιος, να ζήσει τις οικογένειές του και να διασφαλίσει τη βιωσιμότητα των καλλιεργειών του και τη νέα χρονιά.
Εκφράζω την ικανοποίησή μου για την προσπάθεια του Προέδρου του ΕΛΓΑ αλλά και του στελεχιακού δυναμικού του Υποκαταστήματος του Οργανισμού στη Βέροια, που παρά τις αντικειμενικές δυσκολίες της εποχής και ανταποκρινόμενοι στις επανειλημμένες εκκλήσεις των αγροτών μας αλλά και εμού προσωπικά, ολοκλήρωσαν έναν μεγάλο όγκο πορισμάτων και προχωρούν στην καταβολή των χρηματικών ποσών.
Η προσπάθεια τώρα εστιάζεται στο να καταβληθούν άμεσα και οι υπόλοιπες αποζημιώσεις των περιοχών της Ημαθίας που δεν περιλαμβάνονται στις καταστάσεις αυτής της πληρωμής καθώς και να υλοποιηθεί το ενδεχόμενο της άμεσης καταβολής του υπολειπόμενου 35% του ποσού.
Προς αυτή την κατεύθυνση θα συνεχίζω να πιέζω, ευελπιστώντας ότι θα έχουμε θετικά αποτελέσματα!»
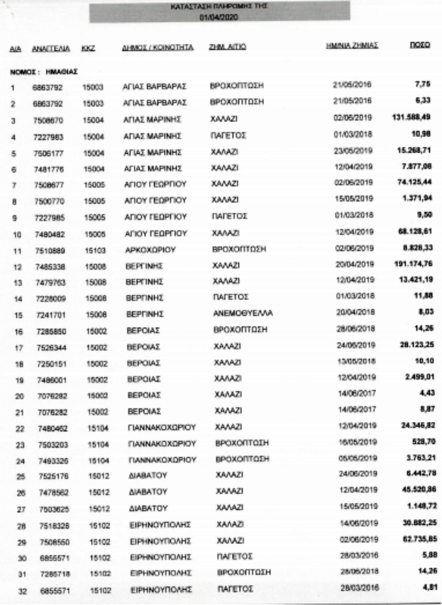
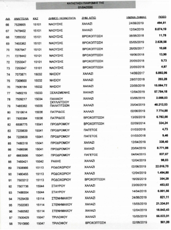
Επισυνάπτονται οι αναλυτικοί πίνακες των περιοχών που περιλαμβάνονται στην πληρωμή της τρέχουσας εβδομάδας:












