Τα νέα εργαστηριακά επιβεβαιωμένα κρούσματα της νόσου που καταγράφηκαν τις τελευταίες 24 ώρες είναι 2.187, εκ των οποίων
4 εντοπίστηκαν κατόπιν ελέγχων στις πύλες εισόδου της χώρας και 55 στην Ημαθία.
Ο συνολικός αριθμός των κρουσμάτων ανέρχεται σε 653.535 .
Οι νέοι θάνατοι ασθενών με COVID-19 είναι 44, ενώ από την έναρξη της επιδημίας έχουν καταγραφεί συνολικά 14.795 θάνατοι.
Ο αριθμός των ασθενών που νοσηλεύονται διασωληνωμένοι είναι 323. Η διάμεση ηλικία τους είναι 66 έτη.
Μεταξύ των ασθενών που νοσηλεύονται διασωληνωμένοι, 292 (90.4%) είναι ανεμβολίαστοι
ή μερικώς εμβολιασμένοι και 31 (9.6%) είναι πλήρως εμβολιασμένοι.
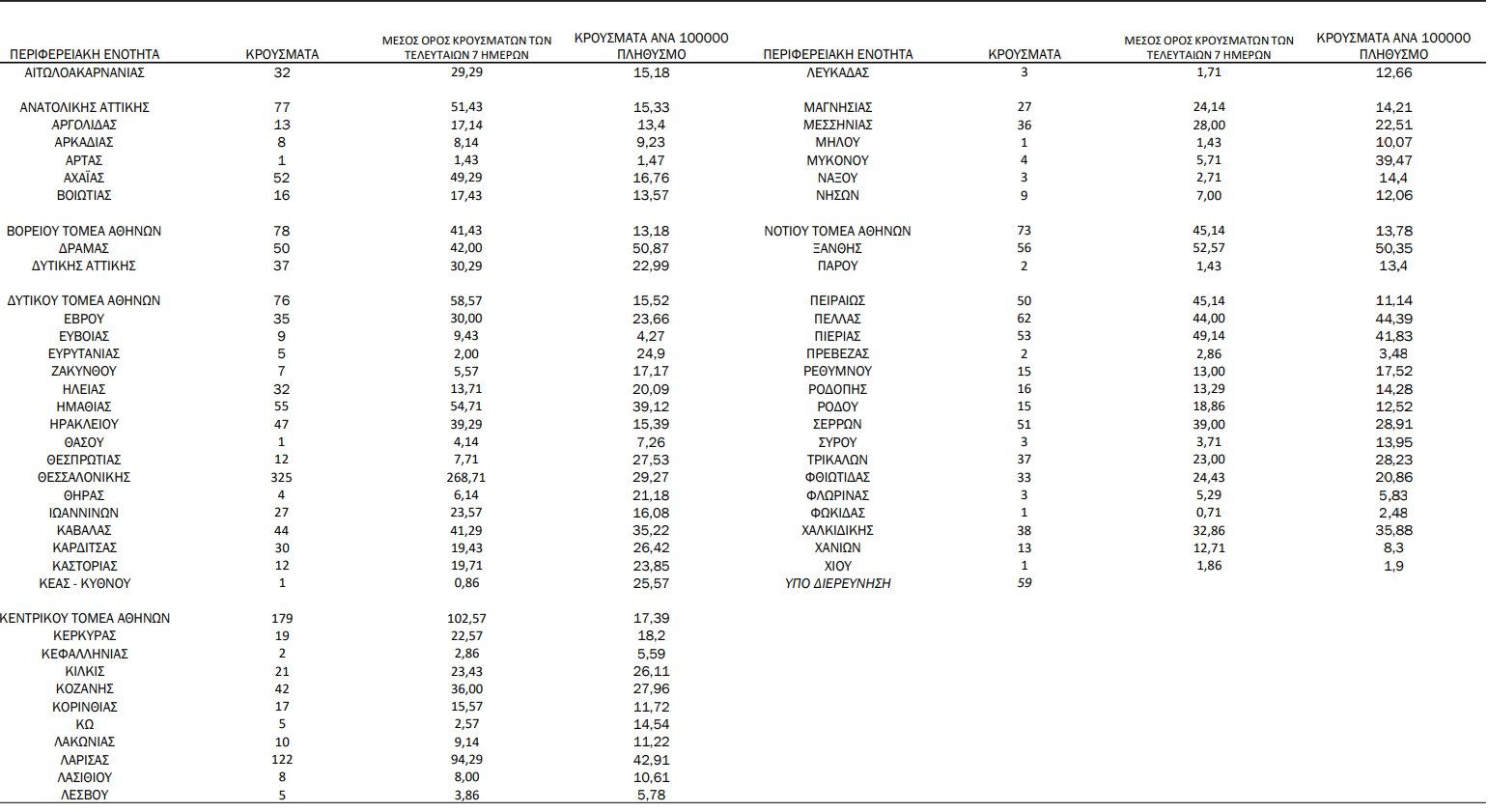
Τα κρούσματα ανά περιφέρεια









