Δόθηκαν από την ΕΛΣΤΑΤ στη δημοσιότητα τα αποτελέσματα που προέκυψαν από την Απογραφή Πληθυσμού − Κατοικιών 2021, σχετικά με τον Μόνιμο Πληθυσμό της Χώρας, κατά Αποκεντρωμένη Διοίκηση, Περιφέρεια, Περιφερειακή Ενότητα, Δήμο, Δημοτική Ενότητα και Δημοτική Κοινότητα.
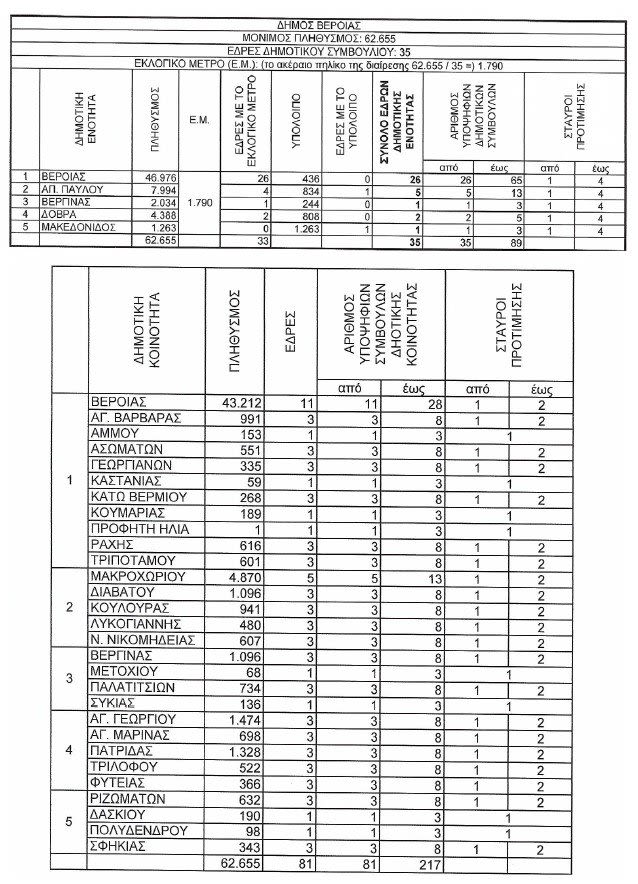
Στην Ημαθία και στους τρεις δήμους του νομού, ο μόνιμος πληθυσμός που απογράφηκε έχει ως εξής: Περιφερειακή Ενότητα Ημαθίας 131.001 μόνιμοι κάτοικοι, ΔΗΜΟΣ ΒΕΡΟΙΑΣ (Έδρα: Βέροια, Ιστορική έδρα: Βεργίνα) 62.655, ΔΗΜΟΣ ΑΛΕΞΑΝΔΡΕΙΑΣ (Έδρα: Αλεξάνδρεια) 38.292 και ΔΗΜΟΣ ΗΡΩΙΚΗΣ ΠΟΛΕΩΣ ΝΑΟΥΣΑΣ (Έδρα: Νάουσα) 30.054
Με την ανακοίνωση του μόνιμου πληθυσμού, υπολογίζονται πλέον οι έδρες και ο αριθμός των συμβούλων, των δημοτικών συμβουλίων και των συμβουλίων των τοπικών κοινοτήτων, καθώς και το εύρος των υποψηφίων για κάθε συμβούλιο, τα οποία παρουσιάζονται σήμερα στο ΛΑΟ, με την επιμέλεια του Απόστολου Ιωσηφίδη.
Στους πίνακες που ακολουθούν καταγράφονται αναλυτικά, ο μόνιμος πληθυσμός, οι έδρες, ο αριθμός των υποψηφίων δημοτικών συμβούλων (από πόσους έως πόσους υποψήφιους μπορεί να έχουν οι συνδυασμοί) καθώς και ο αριθμός των σταυρών προτίμησης, σε όλες τις δημοτικές και κοινοτικές ενότητες της Ημαθίας











